发布日期:2021年04月17日 信息来源:/ 点击数:
防爆增安型电机即防爆领域简称的“e”型电机(这里指低压电机,额定电压660V以下);防爆无火花型电机简称“n”型电机。在多年的防爆审查、检验中发现有很多制造、使用单位对两种防爆电机的防爆原理不是很了解,有的使用单位竟将防爆无火花电机当作防爆增安型电机用在防爆1区危险场所造成了非常严重的不安全隐患。下面就将两种防爆电机的防爆原理、设计要点、检验方法及两者的差异详细介绍一下。

1 “e”型防爆
电气设备的一种防爆型式,即对电气设备采取一些附加措施,以提高其安全程度,防止在正常运行或规定的异常条件下产生危险温度、电弧和火花的可能性。
2 tE时间
交流转子或定子绕组在最高环境温度下达到额定运行温度后,从开始通过启动电流IA时起直至温度上升到极限温度所需的时间(单位:s) 。
3 启动电流比IA/IN
IA/IN初始启动电流IA与额定电流IN之比。
4 “n”型防爆
电气设备的一种防爆型式,这种型式的电气设备, 在正常运行时和本部规定的一些异常条件下,不能点燃周围爆炸性气体环境。
1 “e”型电机的防爆原理
对于在正常运行时不产生电弧、火花和危险高温的电机,如果在其结构上再采取一些机械的、电气的和热的附加保护措施,尽力使电机在正常运行或认可的过载条件下不发生电弧、火花和过热现象,就可进一步提高设备的安全性和可靠性。因此这种电机在正常运行时就没有引燃源,而可用于爆炸危险环境。这就是增安型电机的防爆原理,同时也是它的名称的来源。
2 “e”型电机的设计要点
2. 1电气方面的要求
(1)加强绕组绝缘介电强度,绕组匝间、相间和对机壳的绝缘介电强度要在普通电机的试验电压基础上提高10%
(2)绕组导线须采用规定的至少包覆两层绝缘,只有瓷釉可以是一层绝缘漆包线,而且导线公称直径不得小于0. 25mm。
(3)绕组应采用沉浸法、滴注法或真空加压法浸渍,要保证导线之间空隙填实。采用含有溶剂的浸渍剂时必须至少进行两次浸渍和干燥过程。
(4)固体绝缘材料应采用吸潮性小、耐电弧性能好、不燃或难燃的材料,而且在高于电机连续运行温度至少20℃下(但不低于80℃)仍具有良好的机械性能。
(5)不同电位的导电零件之间的电器间隙和爬电距离大于普通电机的规定值,应符合GB3836. 3 -2010 的规定要求。
2.2 机械方面的要求
(1)引入电缆或导线的连接要保证导线连接牢固、防止松动、拧转(如采用弹簧垫圈)接线端子能承受连接件扭转试验;使用铝导线时,采用铜铝过度接头。
(2)内部导线避免直接采用锡铝焊料焊接,必须先用机械连接后再用锡焊;或采用银焊、铜焊或挤压连接。
(3)转子导条和端环不是压铸成一体时,应采用硬钎焊或熔焊;为防止启动时导条和转子铁芯之间产生火花,可采用压力铸铝法或对单根导条采用附加槽衬、加槽楔等嵌紧措施。
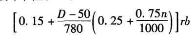
(4)增大电机定、转子间的气隙,以减少转子扫膛的可能性。按GB3836.3 -2010中规定最小径向单边气隙定子和转子之间的最小径向单边气隙(mm)在旋转电机静止时,不应小于下列公式计算的值:最小径向气隙,单位:mm。

式中:。D一转子直径,单位:mm,其在最小径向气 隙公式中的最小值取75,最大值取750 ;n一最大额定转速r/min,最小值取1000 ; r一按下列公式计算,最小值取1.0。

(5)电机中绝缘带电部件的外壳防护等级不低于 IP44 ;裸露带电部件的外壳防护等级(如接线盒)不低于IP54的要求。如安装在清洁室内并有专人经常检查的电机,外壳防护等级允许降低要求,但接线盒和裸露带电部件除外。
(6)电机风扇、风扇罩、隔板须有足够机械强度, 保证可靠固定,并且相互间距符合规定要求,不得相互 碰撞或摩擦而产生火花。考虑设计公差,内、外风扇、 风扇罩、通风孔挡板和它们的紧固件之间的距离应至 少为风扇最大直径的1/100,但不必大于5mm。在任 何情况下,该间距不应小于1mm。如果为控制尺寸的同心度和尺寸的稳定性,有关零件经机加工后,间隙可 减少至1mm。
(7)电缆引入口要密封严密,并须防止电缆受力拔脱。
2.3 热(温度)方面的要求
(1)电机中凡可能与爆炸性混合物接触的零部件表面的极限温度不得超过规定值。
(2)增安型电机正常运行时绝缘绕组的允许温升,应比相应的普通电机的允许温升降低不少于 10℃,这样一方面提高其安全程度,同时延长绕组寿命。
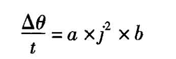
(3)增安型电机转子在堵转时间tE内,电机绝缘 绕组的极限温度不得超过规定值。tE时间一般可以通过试验确定,对于大于75kW的电机,允许用计算法求得。
电动机堵转时,定子绕组的温升△θ,与时间t的比可按下列公式计算:

式中:j是启动电流密度,单位A/mm2 ;
a是常数, (对铜绕组,a=0. 0065)

如果采用电流保护装置防止超过极限温度, tE时间的长短应当电机被堵转时,电流保护装置能够在tE时间结束之前使电机断开电源。通常,如果电动机的tE时间大于图中作为启动电流比IA/IN函数关系确定的tE时间最小值,则这些可满足上述要求。如果电动机的tE时间小于图中的规定值,则采用合适的过载保护装置并通过试验证明其功能有效后才允许使用。此装置须在电动机铭牌上注明。
tE值一般应大于10s,同时还要求tE时间应不小于转子堵转时过电流延时保护装置切断电机电源所需的时间。
在确定tE时间中,要注意定子绕组的tE1时间和转子绕组的tE2时间是不同的,应取其中较小值作为电机的tE时间。

图1电动机tE时间最小值与启动电流比IA/IN的关系
tE值和启动电流比IA/IN均应在铭牌上标明,以便用户选用保护装置。
采用过电流延时保护装置的电机一般只允许用于轻载启动和不频繁启动的连续工作状态。对于启动困难(即启动时间超过1.7倍tE)或频繁启动的电机,须采用特殊保护装置。
1“n”型电机的防爆原理
这种型式的防爆电机,在正常运行时和规定的一些异常条件下,不能点燃周围爆炸性气体环境。所谓 “正常运行和规定的一些异常条件下”是指电机的电气性能和机械性能符合设计规范要求,并在制造商规定的范围内使用。
“n”型电机是一种用于地面工厂2区危险场所的防爆电机。对于2区爆炸危险场所,是指不太可能产生爆炸性气体混合物,即使产生也只能短时存在的场所。另外,对于“n”型电机,正如前面所述,是一种正常运行时不会产生火花,也不太可能产生引起点燃故障的电机。综合起来看,一是场所不太可能出现危险, 二是电机不太可能形成点燃源,两者同时发生并相遇的机会就很小,这就容易达到我们所能接受的安全水平。为了有一个定量的概念,我们就两者相遇概率作一个粗略的估算。根据德国、日本、澳大利亚等国的有关资料介绍,在2区爆炸危险场所中,每年出现爆炸性混合物的时间不大于10h(一年按8000h计),亦即爆 炸性混合物出现的概率为1/800;假设电机每小时起动1次,每次需2s,则lh内可能产生火花的概率为 1*2/3600=1/1800。两者相遇的概率为(1/800)*(1/1800)=7*10-7,可见相遇概率极小,达到我们所能接受的安全水平。这就是“n”型电机用于2区爆炸危险场所的原因。
2 “n”型电机的设计要点
无火花型电机的设计与增安型电机相比,除对绝缘介电强度试验电压、tE时间不像增安型电机那样做出专门规定外,其他方面与增安型电机的设计要求一样。
根据国外资料报道,大型组合结构的无火花型电机曾因电机的杂散磁场产生的环流电流经过机壳上下 对接部分的接缝处时产生的电火花引燃周围爆炸性混合物。1985年末在英国近海钻探船上发生过两起因此种原因而引起的爆炸事故,由于这两起爆炸事故引起了重视,经过研究提出了一些防护措施。这些措施包括加强紧固防止松动;在未焊接在一起的相邻金属件之间加金属片,以便提供连续的通路;螺栓等紧固件的尺寸和数量必须合适,使之能承受环流而防止出现 过高的表面温度;采用金属片的地方,安装用的凸台应焊在板上使接触电阻减至最小;一定要采取措施防止 紧固件逐渐松动;金属片应跨接电流通路中各个接缝; 金属片应对称布置;在轴承室及附近配金属片时,一定要避免造成轴承绝缘短路。
前面已将“e”型电机和“n”型电机的防爆原理及设计要点做了详细介绍,总结出几种防爆电机的主要差异:
(1)绝缘介电强度试验电压:增安型电机比无火花型电机要求的高。
(2)导线绕组温升:增安型电机有tE时间要求。
(3)使用环境:增安型电机可以用在1区危险场所(这里指的是低压电机,额定电压660V以下);无火花型电机只能用在2区危险场所。
随着石油、化工、煤炭、冶金等工业的迅速发展,防止事故爆炸的发生已成为十分突出的问题。为了解决这个问题就需要我们采取的预防措施合理、可靠、经济。首先了解爆炸性气体环境危险区域,环境中出现的爆炸性气体的类型、温度组别,在相应的区域和爆炸性气体环境中使用哪种防爆型式的电气设备是安全可靠的,只有这样才能有的放矢,设计、生产出即安全可靠又经济实用的防爆电气设备。
了解更多知识请访问南洋防爆电机官网:m.sdhjq999.com 阿里巴巴旺铺:https://nyfbdj168.1688.com/ 手机:15518435289 电话:0394-8687286 刘经理
相关阅读:
上一篇:防爆电机振动现象的解决实例 下一篇:查看防爆电机铭牌实例